熟悉佳能的玩家,对于佳能曾经的标准变焦镜头一定不陌生。而且作为大三元里的中流砥柱,24mm到70mm这一焦段,一直都是不可或缺甚至十分重要的角色。老一代EF24-70 F2.8L镜头从2002年问世以来,获得了不少老佳能玩家的青睐。而随着2012年全画幅相机的强势崛起,老一代镜皇在体型和综合成像方面均已表现出略微乏力的状态。佳能在此时适时地推出镜头口径为82mm,镜头结构全新改良的EF 24mm-70mm F2.8L II镜头。这支镜头在成像表现方面,又能给我们带来怎样的表现?带着这些问题,我们马上开始今天的评测吧。

恒定F2.8光圈镜头在佳能镜头群中一直占有相当重要的地位,同时该镜头群也受到广大C粉的热捧,并给其冠上了一个相当好听的名字——大三元。诚然,从EF 28-70 F2.8时代,其出色的画质就已深入人心。时过境迁,如今的EF24-70mm F2.8L II镜头可以说在参数和结构上完全是超越以往的历代镜皇。

新24-70的镜头结构为13组18片镜片结构,其中包括1片超级UD镜片、2片UD镜片,此外还加入了1枚,目前应用在为数不多几款镜头上的研磨非球面镜片。除此以外,该镜头还具备2枚非球面镜。

新EF24-70mm F2.8L II镜头在用料方面可以说十分厚道,UD镜片的加入可以有效抑制边缘色差的产生,而非球面镜的应用则可以有效提升边缘形变等问题。而作为一款旗舰级标变镜头,新EF 24-70mm F2.8L II还采用了近两年佳能顶级镜头普遍都会采用的防污氟镀膜技术,如此一来,我们完全不用担心前组镜片沾染灰尘等问题了。
前面提到,佳能EF 24-70mm F2.8L II镜头采用了更大镜头滤镜口径,那么在体型和外观上又会给我们带来怎样的惊喜呢?接下来,马上让我们先熟悉一下该镜头的外观设计。
作为佳能大三元的新成员,24-70/2.8L II的滤镜尺寸由一代的77mm改为了82mm,镜身长度也比一代镜头缩短了一些,拿到手里时明显感觉重量也比老一代EF 24-70mm F2.8L轻了不少。接下来,让我们来看看具体外观。

佳能EF 24-70mm F2.8L II镜头正面

佳能EF 24-70mm F2.8L II镜头正面
镜头外观结构设计上,新镜头和老镜头没有太大的差别,需要注意的是新镜头增加了一个镜头防滑锁扣设计。使用变焦镜头的玩家清楚,当变焦镜头使用一段时间之后,镜筒十分容易滑脱出来,这一问题在佳能顶级镜头里倒不十分常见,不过佳能既然在此次新24-70镜头的设计里增加的这一设计,小编倒是觉得这是一个人性化的设计改进。

佳能EF 24-70mm F2.8L II镜头防滑锁扣设计

细心的玩家一定已经发现,在这一代的佳能EF24-70mm F2.8L II镜头上有一个突出的变化,就是遮光罩由原来的又大又深的莲花罩,变为一种小型的莲花形遮光罩了。并且遮光罩也由原来扣在镜身上,而转移到了拧扣于浮动的镜筒上了。这样的设计固然可以看作是为了美观而做出的调整,不过对于像小编一样喜欢老一代遮光罩霸气、粗壮外观的玩家来说,新镜头的遮光罩略显得有些简约、低调了。
看过了镜头的整体外观,接下来让我们再来看一下,新24-70在哪些细节设计上带给我们惊喜,以及使用手感上的改进呢?

变焦环橡胶握柄区域增宽

手动调焦环也采用了宽大的设计风格
新24-70镜头细节设计上给人们的感动,首先是来自变焦环和调焦环橡胶宽度的变化。新镜头的采用了宽大的变焦和调焦环设计,给我们带来了极佳的握持手感。

金属卡口设计并设计有防尘防水滴密封橡胶圈

佳能EF 24-70mm F2.8L II镜头82m口径镜头配以萤绿色的镀膜
EW-88C遮光罩采用内植绒设计 植绒可起到良好的吸光效果

EF 24-70mm F 2.8L II镜头采用防尘防水滴密封圈设计
看到这里,我们基本上对于佳能EF24-70mm F2.8LII镜头的整体外观设计有了全面的了解,这枚具有82mm口径的镜头,采用相对简约、紧凑的设计风格。从而令该镜头的体型保持在88.5mm直径x113mm长的水平,而重量则仅为805克,较之前一代老24-70的950克重量来说,新镜头成功瘦身145克。
看过了这支镜头的整体外观,接下来让我们来对这支镜头的成像表现进行一系列的详细测试吧。首先,让我们对其24mm广角端的综合成像表现进行考验。

24mm中心分辨率对比边缘分辨率实测表现

24mm广角端畸变实拍测试
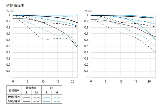
从本组测试来看,这支新24-70镜头的24mm端表现出来的解析力还是令人比较满意的。最大光圈状态下,该镜头配合EOS 5D MARK III可以给我们带来接近3200线的高分辨率表现。而光圈收缩到F4-F8阶段,其分辨率变得更加出色,F8光圈下甚至可以达到接近3400线的解析力水平。从F11开始分辨率表现开始出现明显锐度衰减现象,由此我们可以看出这支镜头自家光圈应为F2.8-F11。
而镜头畸变表现上,佳能新24-70的24mm端和其他大广角变焦镜头一样,同样具有较为明显的桶形畸变迹象。不过,不得不说新24-70在通过3枚非球面镜的补偿之后,其球面像差表现已经要比同类镜头轻微不少了,而且轻微的畸变效果也可以为我们照片带来一些意想不到的效果。
•镜头素质考验二 70mm端分辨率及畸变
看过了24mm端的分辨率表现之后,接下来让我们测试一下70mm端的综合成像表现吧。

24mm中心分辨率对比边缘分辨率实测表现
•畸变测试实拍表现

70mm端的分辨率表现较之广角端而言的确有所衰减。不过和广角端一样,长焦端最佳成像光圈范围同样是F4-F8这一阶段,分辨率普遍可以超过3100线,而令小编感觉有些意外的是F2.8光圈全开时,该镜头依然可以为我们带来接近3000线的解析力。镜头畸变方面的表现,我们则通过样片不难看出,该镜头长焦端并不会表现出明显的枕型畸变痕迹。
看过了镜头分辨率和畸变控制方面的测试,接下来再让我们关心一下这支镜头在边角失光方面的控制力。

24mm端 F2.8

24mm端 F4

24mm端 F5.6

24mm端 F8

70mm端 F2.8

70mm端 F4

70mm端 F5.6

70mm端 F8
整体看来,这支镜头在广角端时会出现比较明显的边角失光问题,特别是在光圈全开的情况下会变得更加明显,不过随着光圈收缩到F4开始,这一问题会得到极大的改善,光圈收缩到F5.6以后,边缘失光问题几乎完全可以忽略不计。
作为又一款拥有F2.8大光圈的镜头,佳能EF24-70mm F2.8L II镜头凭借其9光圈叶片和圆形光圈的设计,应该会在背景虚化,及散焦方面带给我们出色的发挥。接下来,就让我们一同来看一下这支镜头实际拍摄测试结果吧。

F2.8
F4

F5.6
通过实拍测试我们可以看到,采用圆形光圈设计的新24-70 F2.8L II镜头,在光圈收缩到F4时,其焦外圆斑的表现依然具有很高的美观程度。而大家关心的焦外二线性问题,我们从这支镜头上则完全看不到这一现象。因此,我们可以说这支镜头在焦外表现上具有极佳的表现力,这一特点将会很好地帮助我们拍出浅景深、文艺清新风格的照片来。
星芒是光圈收缩后,光的衍射而形成的特殊成像效果,不少喜欢拍夜景的朋友比较喜欢这一拍摄手法。究竟这支新镜皇在星芒表现上会给我们带来怎样的表现呢?不放我们来看一下实拍测试的结果。

F8光圈

F11光圈

F22光圈
通过一组实拍我们发现,这支镜头再F8光圈下时便已经拥有较为出色的星芒表现了,9片光圈叶片可以非常漂亮的星芒效果。
接下来,让我们看一组由全新EF 24-70mm F2.8L II镜头拍摄的样片,以便让我们可以全面地了解这支镜头的表现。
建筑题材:

1/250s F8 70mm ISO100

1/250s F8 24mm ISO100

1/250s F8 70mm ISO50

1/320s F8 24mm ISO100
本次新佳能EF 24-70mm F2.8L II的样片拍摄,小编分别对建筑、人文、静物、风光等题材进行实拍体验。建筑样片的拍摄大多使用F8光圈拍摄,收缩光圈后这支镜头完全可以给我们提供足够优良的解析力,从而可以将建筑上的每一处细节线条表现出来。
在应对人文街景拍摄时,采用大光圈来进行拍摄,不仅有助于提高快门速度,同时浅景深的效果也更能将这支镜头柔美的焦外质感表现出来。

1/160s F4 70mm ISO250

1/60s F5.6 70mm ISO500 -0.3EV

1/250s F8 70mm ISO100 -0.3EV

1/640s F4 70mm ISO100 3.0EV

1/100S F3.5 70mm ISO100 -1.0EV
在室内和弱光环境下拍摄,则是该镜头F2.8光圈发挥优势的时候了。大光圈营造出来的背景虚化效果,配合弱光环境中人造光源的色调,不仅给我们带来很舒服的画面效果,同时F2.8光圈高度可用的中心锐度表现,还能将焦点出的细节完美地呈现出来。

1/60s F5.6 61mm ISO1600 -0.3EV

1/80s F5.6 70mm ISO4000 0.3EV

1/60s F2.8 70mm ISO500

1/80s F2.8 70mm ISO4000 -0.3EV
经过一段时间的深度使用与体验后,我们对于这支全新镜皇有了相对全面的认识。比起上一代24-70,新的EF24-70mm F2.8L II在重量上至少轻了约150克。此外,这支镜头的镜身上采用了加宽橡胶对焦环与橡胶变焦环设计,因此我们在操作手感方面得到了很好的享受。
最后我们不得不提的是,这支新镜头的综合画质表现十分优秀。该镜头使用了1片超级UD镜片,以及2片UD镜片,从而使其广角端与长焦端均具有不错的色散控制能力。当然,这支镜头除了具有锐度高、防色散能力出众等有点之外,该镜头由于采用了防污氟镀膜技术,因此还具备了耐脏的特点。前组镜片上沾上灰尘水迹后,只需要简单的一吹一擦,镜片便能清洁干净。
整体来看,佳能的这支全新EF 24-70mm F2.8L II标变镜头由于焦段比较实用,同时又具有很好的防护性,因此这支镜头比较适合中高端玩家用来进行风光、人文纪实等题材的创作。
优点:
1、重量轻、做工精良
2、对焦环、调焦环设计宽大 操控手感极佳
3、广角端锐度表现出色
4、边缘色差控制出色
5、采用防污氟镀膜技术 镜头易于清洁
不足:
1、镜头畸变控制有待增强
2、目前价格还有些偏高